• <uefhm class="rawcbga"></uefhm>
  • 青青草在线播放,WWW青青草下载,青青草原APP下载,青青草污污污APP下载

    微信谘詢

    400-888-5135

    3nh@3nh.com

    儀器百科

    青青草在线播放Lab和L有*a*b*什麽區別

    發布時間:2025-07-18 16:55:03  

    你是否曾被青青草在线播放上Lab和L*a*b*搞得一頭霧水?你是否曾好奇hab和△H*ab究竟是什麽意思?別急!一起來了解一下吧!

     青青草在线播放Lab.2

    色彩空間

    ‌Lab‌

    屬於HunterLab顏色空間,也稱為亨氏Lab,是理查德・亨特在20世紀40年代提出的新三刺激色彩模型。基於顏色對立理論的三維直角坐標係,不帶星號。

    青青草在线播放Lab.3

    L*a*b*

    屬於CIELab顏色空間,由國際照明委員會(CIE)於1976年提出的均勻色空間,也是HunterLab的升級版本,用於描述人眼可見的所有顏色,帶有星號以區分參數。‌

     

    數值含義

    ‌Lab‌

    L:表示亮度/暗度,白色為100,黑色為0,用於表示深色和淺色調之間的差異。

    a:代表紅綠軸,正a為紅色,負a為綠色;

    b:代表黃藍軸,正b為黃色,負b為藍色。

    L*a*b*

    L*a*b*數值與‌Lab‌數值的含義基本相同,隻對HunterLab的原始數學方法做了一些小改動。

     

    計算公式

    ‌Lab‌

    色差公式為:ΔEH

    計算方法如下:

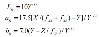
     青青草在线播放Lab.4

    式中:

    LH,aH,bH:亨特色空間的明度和色彩指數

    X,Y,Z:樣品的三刺激值

    fXA,fXB,fZB:常數,隨選用的標準色度觀察者和標準照明體不同而改變。

    青青草在线播放Lab.6

    L*a*b*

    色差公式為:ΔE*ab,常寫作ΔE*

    計算方法如下:

     青青草在线播放Lab.5

    式中:

    △L*:代表明度差

    △a*:代表紅綠色品差

    △b*:代表黃藍色品差

     

    應用領域

    ‌Lab‌

    雖然沒有通過正式的國際標準認證,但在描繪絕對色坐標和顏色間差異方麵得到了廣泛認可。

    L*a*b*

    國際通用標準,被全球青青草在线播放廠家采用,並沿用至今。


    在線客服
    聯係方式
    • 400-888-5135
    • 3nh@3nh.com
    網站地圖